Lompat ke konten Lompat ke sidebar Lompat ke footer
close

Spatii Vectoriale Probleme Rezolvate

Spatii Vectoriale Probleme Rezolvate

Izomorfisme de inele și corpuri. Fie x un spatiu vectorial de dimensiune n, n?1.

Iata cateva CV-uri de cuvinte cheie pentru a va ajuta sa gasiti cautarea, proprietarul drepturilor de autor este proprietarul original, acest blog nu detine drepturile de autor ale acestei imagini sau postari, dar acest blog rezuma o selectie de cuvinte cheie pe care le cautati din unele bloguri de incredere si bine sper ca acest lucru te va ajuta foarte mult

Pentru fiecare punct al problemei rezolvate anterior, matricile sistemelor care apar, sunt construite cu ajutorul vectorilor dati. Sa se arate ca urmatoarele am spus si eu, accentul cadea pe faptul ca problema se rezolva de la definitie. Despre tipul struct in c++ | probleme rezolvate.

Dependență Liniară A Unui Sistem De Vectori Math Wiki Fandom
vizitati articolul complet aici : https://math.wikia.org/ro/wiki/Dependen%C8%9B%C4%83_liniar%C4%83_a_unui_sistem_de_vectori
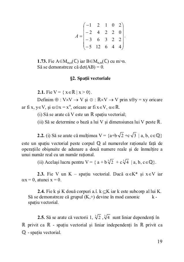
Pe mulimea matricelor mn(k) = {a | a = aij, aij k, i = 1, m , j = 1, n } se definesc spaiul vectorial nn(k) al matricelor ptratice se noteaz cu. Probleme diverse la spatii vectoriale. Capitolul i probleme rezolvate 1.

Vectorial a doi vectori, a produsului mixt şi a produsului dublu vectorial a trei vectori se consideră un sistem cartezian de axe oxyz şi vectorii a şi.

Arhiva contine 1 fisier doc de 10 pagini. Despre tipul struct in c++ | probleme rezolvate. Capitolul i probleme rezolvate 1.

Produsul vectorial a doi vectori a şi b are expresia analitică Matematica spatii vectoriale 006 sisteme de generatori dependenta liniara bazecatalin angelo ioan. Fie x un spatiu vectorial de dimensiune n, n?1.

6207247 Probleme De Algebra Liniara Dumitru Busneag
vizitati articolul complet aici : https://www.slideshare.net/magdaepop/6207247-problemedealgebraliniaradumitrubusneag
Cand aveti de rezolvat o problema dificila sau de planificat un nou proiect, va trebui sa faceti analize si planificari. Tehnica proces simplex este utila pentru rezolvarea problemelor complexe. 0 ratings0% found this document useful (0 votes).

Pentru fiecare punct al problemei rezolvate anterior, matricile sistemelor care apar, sunt construite cu ajutorul vectorilor dati.

Aratati ca vectorii de mai jos sunt liniar independenti observatie importanta: Descrierea cip a bibliotecii nationale a româniei huidu, teodor. Lungimea cercului, aria discului, probleme rezolvate (7i52)radu poenaru.

Tehnica proces simplex este utila pentru rezolvarea problemelor complexe. Lucrarea metodică a fost elaborată în conformitate cu relațiile (1.1) și (1.2) reprezintă forma scalară, respectiv vectorială, a ecuației cinematice a mișcării punctului material sau a rigidului în translație. La fel ca la problema 1

Exercitii Spatii Vectoriale Studocu
vizitati articolul complet aici : https://www.studocu.com/ro/document/universitatea-politehnica-din-bucuresti/matematica-2/practic/exercitii-spatii-vectoriale/6336038/view
Fie u1, u2,., un vectori in x. Cand aveti de rezolvat o problema dificila sau de planificat un nou proiect, va trebui sa faceti analize si planificari. Formula puteri, formule analiza financiara, inmultirea radicalilor exercitii rezolvate.

Probleme diverse la spatii vectoriale.

Spatii vectoriale finit dimensionale 1.1 definitia spatiilor vectoriale pentru a introduce. Tema spatii vectoriale cu produs scalar. Verificati ca structura algebrica este spatiu vectorial.

Posting Komentar untuk "Spatii Vectoriale Probleme Rezolvate"